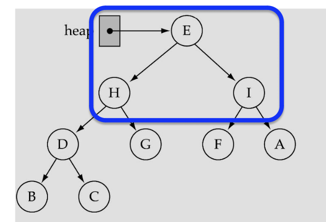
What is a Heap?
local variable은 stack에 있고, dynamic 은 heap에 있다의 heap과 다르다. 맥락을 통해 구분하자.
Heap은 binary tree의 한 종류이다. 다음의 두 가지 특징을 만족해야한다.
1. Shape : It must be a complete binary tree
2. Order : 모든 노드는 자기의 children 값보다 커야 한다. (Parent가 가장 커야함) _ Max_Heap
모든 노드를 자기의 children 값보다 작게 하는 Min_Heap도 만들 수 있다.


전체 트리에서 가장 큰 Element = root

ReheapDown(int root, int bottom)
- 가장 큰 노드를 root로 올리고 작은 노드를 down 하려는 목적
- order가 안 맞는 상황에서 사용. delete를 하다보면 이런 상황이 자주 생긴다. -> 다시 힙으로 만들자.
1. 자식들 중 큰 노드랑 swap
2. swap으로 생긴 트리 heap인지 확인. order 안 맞으면 다시 자식들 중 큰 노드와 swap.

template <class ItemType>
void HeapType<ItemType>::ReheapDown(int root, int bottom){
int maxChild, leftChild, rightChild;
leftChild = root*2 + 1;
rightChild = root*2 + 2;
//maxChild 찾기
if(leftChild <= bottom){ //값 비교가 아니라 index 비교
if(leftChild == bottom) //only one child
maxChild = leftChild;
else{ // two child
if(elements[leftChild] <= elements[rightChild]) //값 크기 비교
maxChild = rightChild;
else
maxChild = leftChild;
}
}
//root와 비교하고 실질적인 작업 수행
if(elements[root] < elements[maxChild]){
Swap(elements[root],elements[maxChild]);
ReheapDown(maxChild,bottom);
}
ReheapUp(int root, int bottom)
다 괜찮은데 마지막 노드 때문에 heap이 안되는 경우에서 사용. insert 할 때 많이 쓴다.
1. 부모 노드와 swap.
2. swap 이후 heap이 될 때까지 부모 노드와 값 비교하며 swap.

template <class ItemType>
void HeapType<ItemType>::ReHeapUp(int root, int bottom){
int parent;
if(root > bottom){ //Tree is not empty
parent = (bottom-1)/2;
if(elements[parent] < elements[bottom]){
Swap(elements[parent],elements[bottom]);
ReHeapUp(root,parent);
}}}
DeleteItem
(1) 힙의 가장 마지막 요소(right most element)를 삭제하려는 요소 위치에 덮어쓴다.
(2) right most node를 삭제한다.
(3) ReheapDown을 이용해 다시 힙 구조를 맞춰준다.
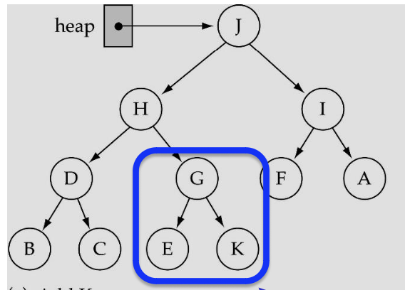
InsertItem
(1) 추가하려는 요소를 힙의 가장 마지막 위치( leftmost place)에 넣는다.
(2) ReheapUp을 이용해 다시 힙 구조를 맞춰준다.
'자료구조 =^._.^=' 카테고리의 다른 글
| Graphs (0) | 2023.06.09 |
|---|---|
| Priority Queues (0) | 2023.06.09 |
| Doubly Linked (0) | 2023.05.01 |
| Recursion (0) | 2023.05.01 |
| Linked Sorted List (0) | 2023.04.30 |